编译:DODO Research
作者:0xAlpha Co-founder @DeriProtocol
欢迎关注推特:@0x_Alpha

0xAlpha 投稿 DODO research。这篇文章将用数学解码这项技术,揭示它如何在不透露任何信息的情况下证明知识的真实性。准备好,让我们一起揭开 zk-SNARK 的神秘面纱。
介绍
zk-SNARK,即“零知识简洁非交互式知识论证”,使得一名验证者 能够确认一名证明者 拥有某些特定知识,这些知识被称为 witness,满足特定的关系,而无需透露关于见证本身的任何信息。
为特定问题生成 zk-SNARK 包括以下四个阶段:
前三个步骤仅仅是转换了原始陈述的表示方式。最后一个步骤使用同态加密将第三步的陈述投影到加密空间中,使得证明者能够证实其中的镜像陈述。鉴于这种投影利用了非对称加密,从第三步的陈述回溯到原始陈述是不可行的,确保了零知识的暴露。
阅读本文所需的数学背景相当于 STEM 专业学生的大一级代数水平。唯一可能具有挑战性的概念可能是椭圆曲线加密。对于不熟悉这一点的人来说,可以将其视为具有特殊基数的指数函数,同时要记住其逆函数仍然未解。
本文将遵循以下符号规则:
让我们用这个问题作为例子:
这个问题可能看起来太简单,因为它不涉及控制流(例如,if-then-else)。然而,将带有控制流的函数转换为算术表达式并不困难。例如,让我们考虑以下问题(或在编程语言中的“函数”):
f(x, z):
if(z==1):
return x*x*x+x*x+5
else:
return x*x+5
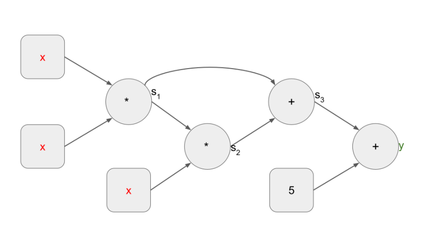
第 1 步:算术门电路
方程式 (1) 可以分解为以下基本算术运算:

这对应于以下算术门电路:

第 2 步:矩阵
通常,对于一个有
我们跳过了构建
因此,我们已经成功地把算术门电路转换成了矩阵公式,即方程式 (3)。同时,我们也把需要证明掌握的对象,从 转变为了见证向量
第 3 步:多项式
这些是六个变量的四组线性方程,可以用传统方法求解。然而,在这种情况下解决
如果提取出每一行单独观察,不难发现这四行对应于在四个点分别求值的相同表达式。因此,上述矩阵方程等价于:
其中:
将方程式 (4) 重写为:

其中
接下来,我们将更详细地阐述实际的操作步骤。
椭圆曲线加密
椭圆曲线的一般理论远远超出了本文的范围。就本文的目的而言,椭圆曲线被定义为从素域
请注意,虽然到目前为止我们一直在讨论常规算术,但现在当我们转换到素域时,数字的算术运算是以模运算的方式进行的。例如,
另一方面,两个椭圆曲线点的加法定义如下图所示:

Figure from Wikipedia
具体来说,两个 ECPs
因此我们定义椭圆曲线点的加法:
请注意,这个规则也适用于特殊情况,即一个 ECP 自加的情况,此时将使用该点的切线。
所以
对于不熟悉椭圆曲线的人来说,你可以将这种映射类比为一个常规的指数函数,其中基数
请注意,给定一个椭圆曲线,由于选择
然而,Alice 想要证明的方程式 (5) 是二次形式的,所以线性不够。为了处理二次项,我们需要在加密空间中定义乘法。这被称为配对函数,或双线性映射,接下来将进行解释。
双线性映射
假设
使得如果
有了这样的双线性映射,我们就可以将方程式 (5) 的两边映射到加密空间。
在这里,我们需要一个可信的第三方来选择五个随机系数:
请注意,整个程序基于对第三方正确处理有毒数据的信任。在现实中,这个“可信设置”程序并不是一个简单的任务。在这篇文章中,我们将假设这一步骤将被正确进行。
设
这整体被称为“证明钥”(proving key),记为 PK。请注意,
同时,进行以下计算:
整个过程被称作“验证钥”,简称 VK。这里只涉及 7 个椭圆曲线点(ECPs),需要提供给验证方。要注意的是,不管问题里面涉及多少输入和一级约束,VK 始终是由 7 个 ECPs 构成的。
另外,值得一提的是,“可信设置”以及生成 PK 和 VK 的过程,对于一个特定的问题来说,只需操作一次即可。
现在拥有公钥(PK),爱丽丝将计算以下椭圆曲线点(ECPs):
这 9 个椭圆曲线点就是零知识简洁非交互式证明(zk-SNARK)的关键!
注意,爱丽丝其实只是对公钥里的椭圆曲线点做了些线性组合运算。这点特别关键,验证时会重点检查。
现在,爱丽丝交出了 zk-SNARK 证明,咱们终于进入验证环节,分三步走。
首先得确认,前 8 个椭圆曲线点真的是通用参考串里那些点的线性组合。
最后,检查等式(5)的相等性:
参考文献
“Zk-SNARKs: Under the Hood” (Vitalik Buterin)
“A Review of Zero Knowledge Proofs” (Thomas Chen, Abby Lu, Jern Kunpittaya, and Alan Luo)
“Why and How zk-SNARK Works: Definitive Explanation” (Maksym Petkus)
Website: Zero-Knowledge Proofs
Wikipedia: Elliptic curve
Wikipedia: Finite field
Wikipedia: Pairing-based cryptography
免责声明
本研究报告内的信息均来自公开披露资料,且本文中的观点仅作为研究目的,并不代表任何投资意见。报告中出具的观点和预测仅为出具日的分析和判断,不具备永久有效性。
推荐阅读
01
02
03
关于我们
「DODO Research」是一个专业的 Web3 研究机构,由一群对 Crypto 有信仰和热情的研究者组成,我们持续关注追踪 Web3 中的 DeFi 和基础设施等相关赛道,提供深入的见解和观点。
欢迎大家 DM ,分享任何关于 DeFi 和 Web3 基础设施的见解和想法,或是你希望了解的深度话题。
另外我们也在寻找志同道合的小伙伴,欢迎同样有热情的你加入我们,在这你能与最懂 DeFi 的小伙伴一起探索精彩的 Web3 世界。
请联系我们:邮箱:dodoingresearch@gmail.com
我们在招聘的岗位有:
1)DeFi / Web3 基础设施 研究员
2) 品牌运营
具体招聘需求传送:https://twitter.com/DodoResearch/status/1587274217082404864
我们的研究内容会同步发布在 Twitter,Notion 和 Mirror 上,欢迎关注:
Twitter: https://twitter.com/DodoResearch;
Notion: https://dodotopia.notion.site/Dr-DODO-is-Researching-6c18bbca8ea0465ab94a61ff5d2d7682;
Mirror:https://mirror.xyz/0x70562F91075eea0f87728733b4bbe00F7e779788
【免责声明】市场有风险,投资需谨慎。本文不构成投资建议,用户应考虑本文中的任何意见、观点或结论是否符合其特定状况。据此投资,责任自负。
